Stability of Cannabis sativa L. samples and their extracts, on prolonged storage in Delhi
Sections
Abstract
Introduction
Materials and methods
Results and discussion
Acknowledgement
Details
Author: K. NARAYANASWAMI, H.C. GOLANI , H.L. BAMI, R. D. DUA
Pages: 57 to 69
Creation Date: 1978/01/01
Stability of Cannabis sativa L. samples and their extracts, on prolonged storage in Delhi
K. NARAYANASWAMIH.C. GOLANI
H.L. BAMI
Central Forensic Science Laboratory, New Delhi, India R. D. DUA Professor of Chemistry, Indian Institute of Technology, New Delhi
Abstract
The percentage rate of change into cannabinoids (Cannabidiol [CBD], tetra-hydrocannabinol [THC] and cannabinol [CBN]) was higher in cannabis samples than in the extracts. This is probably due to the decomposition of acids into corresponding neutral cannabinoids under the conditions of storage. Previous claims that CBD content in plant material is relatively constant are not substantiated by our results. There was a 1.0-2.5-fold increase in CBD content in plant material compared with the extracts. However, the fact that there was no appreciable increase in CBD/CBN content in the stored extracts of the same samples supports the view that the step-wise extraction does not bring the acids into the final extract. Pure Δ 9THC decomposed at a rate of 41 per cent per year under tropical storage conditions. The Δ 9 THC content decreased in the samples and equally in the extracts though 100 per cent conversion of THC to CBN does not take place. The higher CBN content found in extracts than that expected by the conversion THC to CBN is a result of metabolic conversion.
Introduction
A great deal of interest has been shown in the decomposition of cannabinoids present in various forms of cannabis when exposed to different conditions of temperature, light, air, etc. (1) for varying periods. Fairbairn et al. (2) have shown that cannabis and its extract are reasonably stable for 1 to 2 years if stored in the dark at room temperature (20 °C). The effect of light on cannabis has deleterious effect. Pure THC decomposes with light but does not lead to a concomitant increase of CBN, although the latter is not markedly unstable under these conditions. Conversion to CBN, however, seems to occur in the cannabis resin even when stored in the dark. The effect of light may be to convert THC to CBN as well as to other polymers, which are not detectable by GLC and TLC.
Fairbairn and others (2) also observed that exposure to light (not direct sunlight) was the greatest single factor for loss of cannabinoids, expecially in solutions. Ethanolic extracts (3) of cannabinoids are quite stable in the dark but exposure to light leads to fairly rapid loss of THC and CBD. Pure THC in petroleum ether as well as in chloroform solvent is almost completely decomposed in twenty days at room temperature in light, whereas in the dark there is practically no loss. Pure CBD in chloroform is markedly less stable, even in the dark (2, 4). However, in crude samples in chloroform, CBD is very stable in the dark, but the deleterious effect of light leads to substantial loss of CBD and THC in the extracts (5). Pure CBN in chloroform is fairly stable in the dark but in light there is substantial loss.
The effect of oxygen on herbal cannabis seems much less significant than that of light or higher temperatures (2). Razdan and others (9) have reported a loss of 7.5 per cent in 10 months for THC on filter paper (in the dark at 25°) due to a possible effect of oxygen.
Work has also been carried out on short exposure of cannabis leaf, the resin and pure cannabinoids to different temperatures (10) and storage time (9). In general the heat enhanced the conversion processes in tropical areas when compared with temperate regions. Coffman and Gentner (11) have shown that on 85 °C and 105 °C when exposed for longer periods of time and with increase drying cannabis leaf tissue, there is no change in the cannabinoid content at 65 °C for 16 hours. There was, however, loss of CBD and THC contents at in CBN content. Stability of Δ 9-THC is maintained at 0 °C when protected from light and stored under nitrogen. But in experiments conducted at 37 °C and 50 °C under similar conditions significant loss of THC occurred.
Lerner (10) surmised a rate loss of THC of 3 to 5 per cent per month at room temperature, corresponding to 31 to 46 per cent per year for herbal cannabis. Assuming linear rate of decomposition, Turner and others (6) found a loss of THC of 7 per cent per year at room temperature when stored in amber-coloured bottles either in the dark, or with limited exposure to light. Fairbairn and others (2) have shown that in coarse powder, THC decomposed within the range of 5 to 26 per cent with a mean of 13 per cent per year. Apart from the inherent variation in composition of active constituents in cannabis samples and its potency with time, the manner and temperature of storage also are significant factors. Over the past six years, this laboratory had been testing confiscated cannabis samples (charas, ganja, and bhang) at Delhi. In 1974 cannabinoid content was determined by GLC in cases of selected cannabis samples (seized from 1969 to 1974) which had been normally stored under tropical conditions (17°- 47 °C) at this laboratory. The same samples and their respective sample extract (made in 1974) were again analysed in 1976. Apart from initial cannabinoid content of various samples of different ages, the rate and manner of decomposition of cannabinoids were studied under actual conditions of normal tropical storage. Standard samples were also simultaneously studied for comparison.
Materials and methods
Thirty-two samples of cannabis resin (charas), seven samples of ganja (cannabis flowers) and two samples of bhang (cannabis leaves) were selected out of the samples received at the laboratory during 1969 to 1974. One sample of pure THC * received from the U.N. Narcotics Laboratory, Geneva, in June 1972 was also analysed during December 1974 and December 1976, along with the above-mentioned samples.
a Secretariat note: This THC was obtained by the U.N. Laboratory through the courtesy of the National Institute on Drug Abuse, United States of America.
A powdered sample was dried at 65 °C for 17 hours. A weighed amount of material (1 gm for charas, 5 gm each for ganja and bhang) was added to 30 ml of petroleum ether (40-60 °C) and allowed to stand at room temperature for one hour, and shaken occasionally. The insoluble plant material was then removed by filtration through a small funnel plugged with cotton wool and 0.2 gm alumina. The residue in the funnel was repeatedly washed with 15 ml of petroleum ether till the filtrate was colourless. The combined extract was evaporated and the residue redissolved in 10 ml of methanol; filtered again and the filtrate plus washings evaporated. The final residue was dissolved in 1 ml of methanol containing 10 mg of triphenylcarbinol as the internal standard. 0.2 μl of the final solution was injected for GLC analysis. The sample extracts prepared in 1974 were also again analysed in 1976 by a similar procedure (figure 1).
Figure 1. Gas chromatogram of final methanol extract of cannabis sample with triphenyl-carbinol as internal standard.
Analysis was performed using a Perkin Elmer gas chromatograph model F-11 equipped with a hydrogen flame ionization detector and operated isothermally at 230°,using glass columns, 0.625 cms o.d. x 2m packed with 3 per cent OV-17 (high purity polar methyl silicone) on 80-100 mesh chromosorb W. Peak area measurements were made by the triangulation method and compared with the peak area of the internal standard. Relative response factors, obtained by using pure CBD, Δ 9-THC, CBN, of the cannabinoid concentrations were determined in each sample (tables 1 and 2).
TABLE 1
Analysis of cannabis (charas) samples and their extract with percentage rate of change
|
Sample No. (2) |
Sample analysis |
|
Yearly percentage rate of change |
||||
|---|---|---|---|---|---|---|---|
|
(1) |
1972 (3) |
1976 (4) |
Sample extract of 1974 analysed in 1976 (5) |
Sample (6) |
1974 sample extract (7) |
||
|
1.
|
Charas
|
1-69
|
|||||
|
% CBD
|
0.24 | 0.35 | 0.23 |
+22.9
|
-2.1
|
||
|
% THC
|
0.02 | 0.05 | 0.00 |
-
|
-
|
||
|
% CBN
|
1.59 | 2.64 | 1.74 |
+33.0
|
+4.7
|
||
|
2.
|
Charas
|
2-69
|
|||||
|
% CBD
|
0.34 | 0.69 | 0.34 |
+51.4
|
0.0 | ||
|
% THC
|
0.02 | 0.04 | 0.02 |
-
|
-
|
||
|
% CBN
|
1.85 | 3.63 | 1.84 |
+48.1
|
-0.3
|
||
|
3.
|
Charas
|
3-69
|
|||||
|
% CBD
|
0.24 | 0.26 | 0.23 |
+4.2
|
-2.1
|
||
|
% THC
|
0.02 | 0.02 | 0.00 |
-
|
-
|
||
|
% CBN
|
1.12 | 1.87 | 1.08 |
+33.4
|
-1.8
|
||
|
4.
|
Charas
|
4-69
|
|||||
|
% CBD
|
0.57 | 0.81 | 0.59 |
+21.0
|
+1.8
|
||
|
% THC
|
0.02 | 0.04 | 0.00 |
-
|
-
|
||
|
% CBN
|
2.33 | 4.56 | 2.51 |
+47.8
|
+3.8
|
||
|
5.
|
Charas
|
5-69
|
|||||
|
% CBD
|
0.62 | 1.05 | 0.66 |
+34.6
|
+3.2
|
||
|
% THC
|
0,06 | 0.09 | 0.05 |
-
|
-
|
||
|
% CBN
|
3.01 | 4.64 | 3.07 |
+27.1
|
+1.0
|
||
|
6.
|
Charas
|
1-70
|
|||||
|
% CBD
|
1.00 | 1.81 | 0.90 |
+40.5
|
-5.0
|
||
|
% THC
|
0.16 | 0.05 | 0.07 |
-34.5
|
-28.0
|
||
|
% CBN
|
1.18 | 3.56 | 2.27 |
+ 100.0
|
+46.2
|
||
|
7.
|
Charas
|
2-70
|
|||||
|
% CBD
|
2.28 | 3.08 | 2.22 |
+ 17.5
|
-1.3
|
||
|
% THC
|
0.15 | 0.06 | 0.07 |
-30.0
|
-26.6
|
||
|
% CBN
|
1.74 | 2.35 | 1.92 |
+ 17.8
|
+5.2
|
||
|
8.
|
Charas
|
3-70
|
|||||
|
% CBD
|
0.61 | 1.13 | 0.23 |
+42.6
|
-31.1
|
||
|
% THC
|
0.06 | 0.08 | 0.00 |
-
|
-
|
||
|
% CBN
|
2.16 | 4.53 | 1.78 |
+54.8
|
-8.8
|
||
|
9.
|
Charas
|
4-70
|
|||||
|
% CBD
|
0.49 | 1.08 | 0.48 |
+60.2
|
-1.0
|
||
|
% THC
|
0.06 | 0.10 | 0.05 |
-
|
-
|
||
|
% CBN
|
0.51 | 1.62 | 0.45 |
+108.8
|
--5.9
|
||
|
10.
|
Charas
|
5-70
|
|||||
|
% CBD
|
0.42 | 0.86 | 0.48 |
+52.3
|
+7.1
|
||
|
% THC
|
0.12 | 0.05 | 0.03 |
-29.1
|
-37.5
|
||
|
% CBN
|
1.14 | 2,45 | 1.18 |
+57.4
|
+1.8
|
||
|
11.
|
Charas
|
1-71
|
|||||
|
% CBD
|
1.13 | 1.85 | 1.11 |
+31.8
|
-0.8
|
||
|
% THC
|
0.02 | 0.04 | 0.02 |
-
|
-
|
||
|
% CBN
|
0.53 | 0.97 | 0.83 |
+41.5
|
+28.3
|
||
|
12.
|
Charas
|
2-71
|
|||||
|
% CBD
|
1.51 | 2.36 | 1.52 |
+28.1
|
+0.3
|
||
|
% THC
|
0.08 | 0.04 | 0.00 |
-
|
-
|
||
|
% CBN
|
0.39 | 0.67 | 0.41 |
+36.4
|
+2.6
|
||
|
13.
|
Charas
|
3-71
|
|||||
|
% CBD
|
0.43 | 1.01 | 0.39 |
+67.4
|
-4.6
|
||
|
% THC
|
0.10 | 0.05 | 0.00 |
-25.0
|
-50.0
|
||
|
% CBN
|
2.43 | 5.82 | 2.71 |
+69.7
|
+5.7
|
||
|
14.
|
Charas
|
4-71
|
|||||
|
% CBD
|
0.92 | 1.94 | 0.93 |
+55.4
|
+0.5
|
||
|
% THC
|
0.16 | 0.02 | 0.00 |
-43.7
|
-50.0
|
||
|
% CBN
|
0.90 | 2.13 | 0.89 |
+68.3
|
-0.5
|
||
|
15.
|
Charas
|
5-71
|
|||||
|
% CBD
|
0.37 | 0.93 | 0.43 |
+75.6
|
+8.1
|
||
|
% THC
|
0.15 | 0.04 | 0.00 |
-36.6
|
-50.0
|
||
|
% CBN
|
0.90 | 2.63 | 1.16 |
+96.1
|
+14.4
|
||
|
16.
|
Charas
|
1-72
|
|||||
|
% CBD
|
2.22 | 3.54 | 2.44 |
+28.7
|
+4.9
|
||
|
% THC
|
0.20 | 0.05 | 0.09 |
-37.5
|
-27.5
|
||
|
% CBN
|
1.17 | 1.99 | 1.64 |
+35.0
|
+20.1
|
||
|
17.
|
Charas
|
2-72
|
|||||
|
% CBD
|
1.72 | 2.47 | 1.78 |
+21.8
|
+1.7
|
||
|
% THC
|
0.07 | 0.03 | 0.07 |
-
|
-
|
||
|
% CBN
|
2.30 | 3.17 | 2.57 |
+18.5
|
+5.9
|
||
|
18.
|
Charas
|
3-72
|
|||||
|
% CBD
|
1.34 | 1.97 | 1.34 |
+22.5
|
0.0 | ||
|
% THC
|
0.10 | 0.07 | 0.05 |
-15.0
|
-25.0
|
||
|
% CBN
|
2.22 | 2.42 | 2.18 |
+4.5
|
-0.9
|
||
|
19.
|
Charas
|
4-72
|
|||||
|
% CBD
|
1.59 | 1.81 | 1.57 |
+6.9
|
-0.6
|
||
|
% THC
|
0.10 | 0.04 | 0.03 |
-30.0
|
-35.0
|
||
|
% CBN
|
2.42 | 3.00 | 1.86 |
+12.0
|
-11.6
|
||
|
20.
|
Charas
|
5-72
|
|||||
|
% CBD
|
0.92 | 2.01 | 0.91 |
+59.2
|
-0.5
|
||
|
% THC
|
0.05 | 0.10 | 0.03 |
-
|
-
|
||
|
% CBN
|
2.09 | 4.41 | 2.50 |
+55.5
|
-9.8
|
||
|
21.
|
Charas
|
6-72
|
|||||
|
% CBD
|
0.41 | 0.76 | 0.43 |
+42.7
|
+2.4
|
||
|
% THC
|
0.32 | 0.17 | 0.15 |
-23.4
|
-26.6
|
||
|
% CBN
|
1.11 | 2.44 | 1.64 |
+59.9
|
+23.8
|
||
|
22.
|
Charas
|
1-73
|
|||||
|
% CBD
|
0.75 | 1.02 | 0.78 |
+ 18.0
|
+2.0
|
||
|
% THC
|
0.44 | 0.02 | 0.19 |
-47.7
|
-28.4
|
||
|
% CBN
|
0.24 | 0.77 | 0.61 |
+ 110.4
|
+77.1
|
||
|
23.
|
Charas
|
2-73
|
|||||
|
% CBD
|
1.18 | 1.86 | 1.19 |
+28.8
|
+0.4
|
||
|
% THC
|
0.16 | 0.02 | 0.17 |
-43.7
|
-3.1
|
||
|
% CBN
|
0.41 | 0.75 | 0.65 |
+20.7
|
+29.2
|
||
|
24.
|
Charas
|
3-73
|
|||||
|
% CBD
|
1.39 | 2.62 | 1.44 |
+44.2
|
+1.9
|
||
|
% THC
|
0.67 | 0.07 | 0.02 |
-44.8
|
-48.5
|
||
|
% CBN
|
0.83 | 1.31 | 1.05 |
+28.9
|
+13.2
|
||
|
25.
|
Charas
|
4-73
|
|||||
|
% CBD
|
3.37 | 6.66 | 3.57 |
+49.3
|
+3.0
|
||
|
% THC
|
0.85 | 0.07 | 0.06 |
-45.9
|
-46.5
|
||
|
% CBN
|
1.18 | 3.04 | 2.57 |
+78.8
|
+58.9
|
||
|
26.
|
Charas
|
5-73
|
|||||
|
% CBD
|
1.69 | 3.31 | 1.71 |
+49.7
|
+0.6
|
||
|
% THC
|
2.34 | 0.03 | 0.02 |
-49.3
|
-49.5
|
||
|
% CBN
|
0.47 | 3.27 | 2.35 |
+297.8
|
+200.0
|
||
|
27.
|
Charas
|
6-73
|
|||||
|
% CBD
|
0.41 | 0.57 | 0.40 |
+19.5
|
-1.2
|
||
|
% THC
|
5.98 | 0.03 | 0.06 |
-49.7
|
-49.5
|
||
|
% CBN
|
1.14 | 4.68 | 3.69 |
+155.3
|
+111.8
|
||
|
28.
|
Charas
|
1-74
|
|||||
|
% CBD
|
0.86 | 1.87 | 0.90 |
+58.7
|
+2.3
|
||
|
% THC
|
3.67 | 0.45 | 0.06 |
-42.5
|
-49.2
|
||
|
% CBN
|
0.42 | 2.71 | 1.01 |
+272.6
|
+70.2
|
||
|
29.
|
Charas
|
2-74
|
|||||
|
% CBD
|
1.39 | 1.15 | 1.15 |
-8.6
|
-8.6
|
||
|
% THC
|
0.26 | 0.03 | 0.00 |
-45.8
|
-50.0
|
||
|
% CBN
|
0.14 | 0.40 | 0.12 |
+92.8
|
-7.1
|
||
|
30.
|
Charas
|
3-74
|
|||||
|
% CBD
|
2.16 | 3.42 | 2.66 |
+28.7
|
+116.0
|
||
|
% THC
|
1.43 | 0.11 | 0.07 |
-46.2
|
-47.5
|
||
|
% CBN
|
1.35 | 3.52 | 2.66 |
+80.4
|
+48.5
|
||
|
31.
|
Charas
|
4-74
|
|||||
|
% CBD
|
1.71 | 3.53 | 1.67 |
+53.2
|
-1.2
|
||
|
% THC
|
2.46 | 0.07 | 0.08 |
-48.6
|
-48.4
|
||
|
% CBN
|
0.37 | 3.61 | 1.95 |
+437.8
|
+213.5
|
||
|
32.
|
Charas
|
5-74
|
|||||
|
% CBD
|
1.37 | 2.64 | 1.75 |
+46.3
|
+13.9
|
||
|
% THC
|
2.12 | 0.09 | 0.03 |
-47.9
|
-49.3
|
||
|
% CBN
|
0.35 | 3.11 | 1.51 |
+394.3
|
+165.7
|
||
|
33.
|
Charas
|
6-74
|
|||||
|
% CBD
|
0.75 | 0.84 | 0.75 |
+ 6.0
|
0.0 | ||
|
% THC
|
0.24 | 0.02 | 0.05 |
-45.8
|
-39.6
|
||
|
% CBN
|
0.38 | 0.71 | 0.73 |
+43.2
|
+46.1
|
||
|
34.
|
Δ
9-THC
|
1-70 (UNC-300)
|
|||||
|
% THC
|
8.24 | 1.47 | 2.24 |
-41.1
|
-36.4
|
||
|
% CBN
|
5.63 | 10.06 | 7.01 |
+39.3
|
+12.2
|
||
TABLE 2
Analysis of herbal cannabis (ganja and bhang) samples and their extracts with annual percentage of rate of change
|
Sample No. (2) |
Sample analysis |
Yearly percentage rate of change |
|||||
|---|---|---|---|---|---|---|---|
|
(1) |
1972 (3) |
1976 (4) |
Sample extract of 1974 analysed in 1976 (5) |
Sample (6) |
1974 sample extract (resin) (7) |
||
|
1.
|
Ganja
|
1-71
|
|||||
|
% CBD
|
0.05 | 0.07 | 0.06 |
+20.0
|
+10.0
|
||
|
% THC
|
0.01 | 0.01 | 0.01 | 0.0 | 0.0 | ||
|
% CBN
|
0.55 | 0.72 | 0.55 |
+15.4
|
0.0 | ||
|
2.
|
Ganja
|
2-71
|
|||||
|
% CBD
|
0.05 | 0.07 | 0.05 |
+20.0
|
0.0 | ||
|
% THC
|
0.02 | 0.00 | 0.01 |
-
|
-
|
||
|
% CBN
|
0.64 | 0.86 | 0.60 |
+ 17.2
|
-3.1
|
||
|
3.
|
Ganja
|
1-72
|
|||||
|
% CBD
|
0.06 | 0.09 | 0.07 |
+25.0
|
+8.3
|
||
|
% THC
|
0.02 | 0.01 | 0.01 |
-
|
-
|
||
|
% CBN
|
0.75 | 1.19 | 0.78 |
+29.3
|
+2.0
|
||
|
4.
|
Ganja
|
2-72
|
|||||
|
% CBD
|
0.05 | 0.13 | 0.05 |
+80.0
|
-
|
||
|
% THC
|
0.05 | 0.02 | 0.01 |
-
|
-
|
||
|
% CBN
|
0.32 | 0.82 | 0.34 |
+78.1
|
+3.1
|
||
|
5.
|
Ganja
|
3-72
|
|||||
|
% CBD
|
0.12 | 0.12 | 0.05 | 0.0 |
-29.2
|
||
|
% THC
|
0.06 | 0.01 | 0.01 |
-
|
-
|
||
|
% CBN
|
0.29 | 0.31 | 0.24 |
+3.4
|
-8.6
|
||
|
6.
|
Ganja
|
1-73
|
|||||
|
% CBD
|
0.06 | 0.08 | 0.06 |
+16.6
|
0.0 | ||
|
% THC
|
0.07 | 0.02 | 0.01 |
-
|
-
|
||
|
% CBN
|
0.62 | 0.86 | 0.56 |
+19.4
|
-4.8
|
||
|
7.
|
Ganja
|
1-74
|
|||||
|
% CBD
|
0.04 | 0.07 | 0.04 |
+37.5
|
0.0 | ||
|
% THC
|
0.05 | 0.01 | 0.01 |
-
|
-
|
||
|
% CBN
|
0.16 | 0.38 | 0.21 |
+68.7
|
+15.6
|
||
|
8.
|
Bhang
|
1-71
|
|||||
|
% CBD
|
0.08 | 0.21 | 0.09 |
+ 81.2
|
+6.2
|
||
|
% THC
|
0.00 | 0.00 | 0.00 |
-
|
-
|
||
|
% CBN
|
0.04 | 0.13 | 0.05 |
+112.5
|
+12.5
|
||
|
9.
|
Bhang
|
1-72
|
|||||
|
% CBD
|
0.12 | 0.13 | 0.13 |
+4.2
|
+4.2
|
||
|
% THC
|
0.02 | 0.00 | 0.01 |
-
|
-
|
||
|
% CBN
|
0.05 | 0.04 | 0.07 |
-10.0
|
+20.0
|
||
Results and discussion
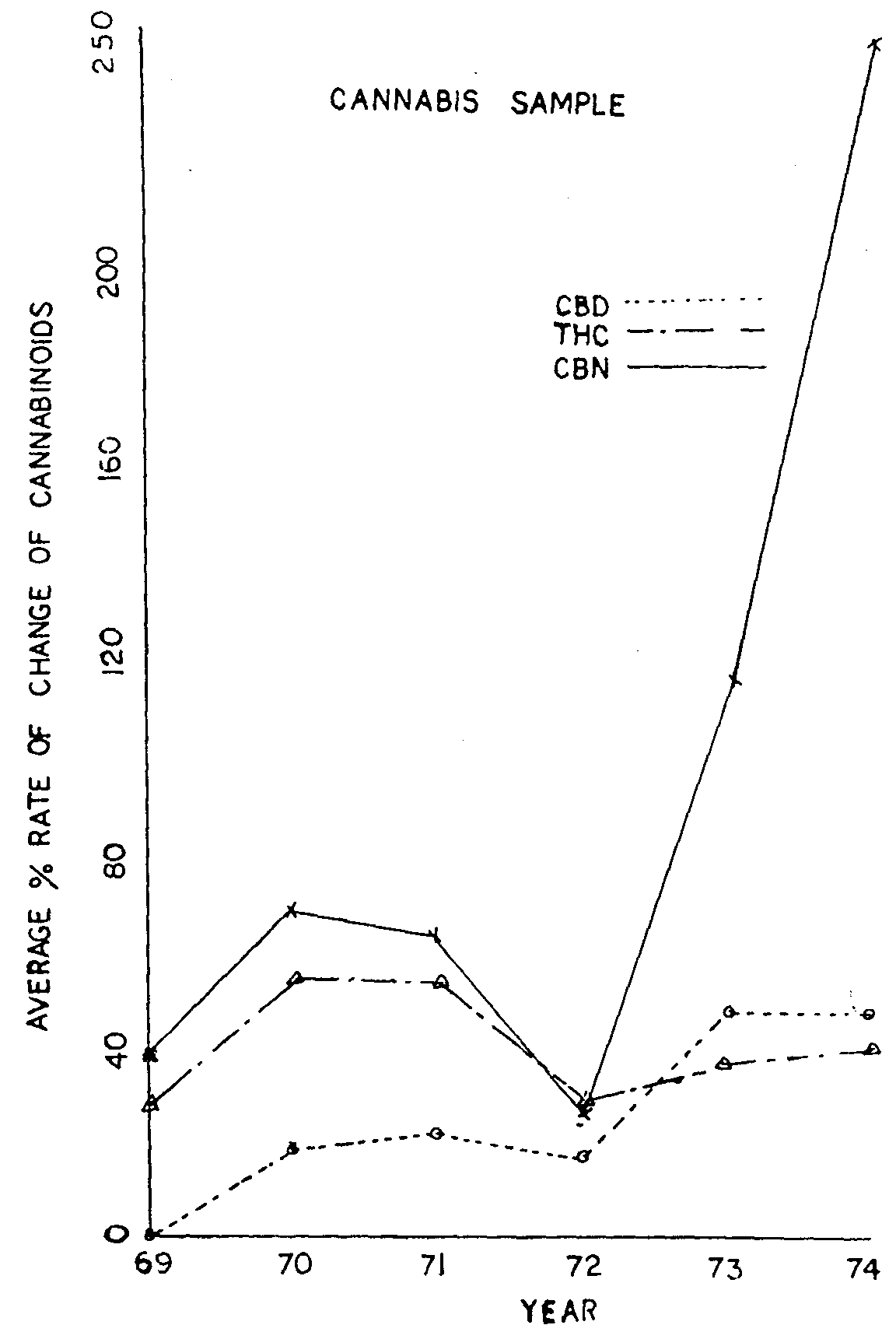
Figure 2. Average, percentage rate of change of cannabinoids (CBD, Δ 9 -THC and CBN) in cannabis sample.
Cannabis (charas) samples: Graphic representation of average percentage rate of change of three main cannabinoids (CBD, THC, in and CBN) in the cannabis resin (charas) samples as well as their extracts are presented figures 2 and 3. In general charas samples of more recent origin (1973 and 1974) had a higher rate of change for the cannabinoids compared with that of the older samples (1969 to 1972). However this rate of change in case of sample extracts (made in 1974 in case of all samples) was generally lower when compared with that of original charas samples studied. It is interesting to note that CBD content of all sample extracts showed uniformly a very negligible average percentage rate of change in this study (figure 3).
Figure 3. Average percentage rate of change of cannabinoids (CBD, Δ 9 -THC and CBN) in cannabis sample-extract.
During two years' storage of cannabis samples (charas) under tropical conditions in Delhi, the nominal CBD values showed an increase from 1 to 2.5 times the original values determined in 1974 (table 1). Analysis of data presented in table 3 for CBD content of charas samples indicated an annual average increase ranging from 26.8 to 53.2 per cent in respect of samples obtained from 1969 to 1974. However, this increase varied only from 1.8 per cent to 5.8 per cent in the case of all sample extracts which were made in 1974. CBD is known to be stable in crude samples when stored in the dark (5) although increase in this case could also result from conversion of CBD acid to CBD (7 and 8). In the step-wise extraction process adopted the acids were eliminated in the final methanolic solution, resulting in no appreciable increase in cannabidiol in sample extracts on storage. This point of view is also supported by the values obtained for THC and CBN, discussed subsequently.
Δ 9-tetrahydrocannabinol content in cannabis samples as well as in sample extracts shows a decrease with time, as is to be expected (table 1). In this discussion, the samples having very low initial content (less than 0.1 per cent) have not been taken into account for obvious reasons. Table 3 shows the average annual rate of loss of THC for cannabis samples, expressed in percentages, and the sample extracts of 1974. These are not absolute values but indicate that rate of loss is inversely proportional to age of the sample. Fresh samples with high THC content lost their THC content to almost one-fourth the original in two years. The annual percentage rate of loss declined from 46.8 to virtually nil for the samples collected in 1969 and analysed at the end of 1974 and 1976 (see table 1). The THC rate of loss of about 50 per cent per year at 37 °C has also been observed by Turner and others (6). The percentage rate of loss was not uniform in all the samples, even though obtained during the same year. This could not be helped in random samples of unknown origin and purity.
The decrease in THC content for the sample extracts (1969 to 1972) collection was less than 30 per cent (table 3). But in the case of 1973 and 1974 sample extracts the annual rate of decrease in THC content was 40-50 per cent. This is the same as in the case of cannabis samples themselves. One of the pure THC samples (95.0 per cent pure in 1970): was received in 1972 from Geneva and kept under normal conditions of storage at Delhi in the dark for two years. In 1974, the THC content of this sample was found to be 8.24 per cent only. This value declined to 1.47 per cent in 1976. There is a 41.1 per cent annual rate of change of THC. There was a fall of 36.4 per cent in annual rate of change of THC when this sample was kept in a methanol solution in the dark from 1974 to 1976, confirming that rapid loss of THC occurs on prolonged storage in liquid form, even in the dark.
TABLE 3
Average annual percentage rate of change of cannabinoids in cannabis samples and sample extracts
|
Year of acquisition |
|||||||
|---|---|---|---|---|---|---|---|
|
Sl. No. |
Cannabinoids |
1969 |
1970 |
1971 |
1972 |
1973 |
1974 |
|
1.
|
Cannabidiol:
|
||||||
|
(i) Sample
|
26.8 | 53.2 | 51.7 | 28.8 | 34.9 | 38.6 | |
|
(ii) Sample extract of 1974
|
1.8 | 3.6 | 2.9 | 1.8 | 1.5 | 5.8 | |
|
2.
|
Δ
9-Tetrahydrocannabinol:
|
||||||
|
(i) Sample
|
0.0 | 18.7 | 21.0 | 16.6 | 46.8 | 46.2 | |
|
(ii) Sample extract of 1974
|
0.0 | 18.4 | 30.0 | 17.5 | 37.5 | 46.8 | |
|
3.
|
Cannabinol:
|
||||||
|
(i) Sample
|
37.9 | 67.8 | 62.4 | 25.1 | 115.3 | 245.6 | |
|
(ii) Sample extract of 1974
|
2.3 | 13.6 | 10.3 | 9.6 | 81.7 | 108.8 | |
Cannabinol is formed by conversion of the THC and cannabinolic acid. But 100 per cent conversion of THC into CBN is really not taking place, as confirmed in the data of pure THC (sample No. 34, table 1). Examination of data for CBN of cannabis samples, indicated an increase in percentage rate of change of CBN content from 25.1 to 245.6 annually in respect of samples seized from 1969 to 1974 respectively. This marked change in the CBN content could not be directly correlated to the biodegradation of the THC only. It appeared that other degradative routes were involved which contributed to the over-all increase of CBN content on tropical storage.
CBN increase in the 1974 sample extracts, retested in 1976, was not significant wherever the THC content was low (table 1). However, there was marked increase in CBN content in samples of 1973 and 1974. The average annual percentage rate of change of CBN in cannabis samples of 1973 and 1974 was considerably higher than that of sample extracts for the same years (table 3).
There is only about 15 per cent increase in the average annual percentage rate of change of CBN content in sample extracts of 1969 to 1972. However, the sample extracts of more recent origin (1973 and 1974) showed nearly 100 per cent increase in CBN content per year. The difference in percentage increase of CBN in the samples and the sample extracts made it evident that the increase in cannabinol content is not only due to degradation of THC to CBN but that there are metabolic pathways involved in this change; especially the corresponding acids are eliminated in the sample extracts.
Herbal cannabis (ganja and bhang)
The percentage content of cannabidiol (CBD), tetrahydrocannabinol (THC) and cannabinol (CBN) of herbal cannabis samples was of very low order (table 2, samples No. 1 to 9) as expected. Initial low THC content of the herbal cannabis samples reduced to virtually negligible after storage for two years under present tropical storage conditions. This speedy loss of the active THC content could be the basis of use of fresh herbal cannabis material generally in countries where it is grown. This is also an obvious reason for preference for cannabis resin (charas).
The percentage annual rate of increase in the CBD and CBN content for the herbal cannabis samples, taken together, was significantly higher than that of their sample extracts. On the whole, the changes of the three major cannabinoids in herbal cannabis samples broadly followed the same pattern as in case of cannabis samples (charas).
It is claimed that the cannabinoids retain stability as long as they are present in the glandular trichomas of the leaves (12). In these glands they are apparently hermetically sealed and thus less exposed to oxidation, hydrolysis and any enzymatic action which may occur during the process of preparation of charas (hashish). Hence the increase in CBD and CBN is much lower in herbal cannabis than it is in cannabis resin (charas or hashish), where the cells are destroyed by and large and the material is directly exposed to air, light, heat and enzymatic action. This leads to greater loss of the active THC content as well as larger formation of other constituents like CBD and CBN in charas, not only by the direct biogenetic pathways but also by other mechanisms. Previous claims (6) that CBD content in plant material is relatively constant irrespective of the loss of the active THC ingredient is not substantiated by the present study. The loss of THC content is not proportional to the large increase in CBN content. The ultimate criteria for activity, therefore, must be in terms of THC content irrespective of the type of cannabis sample and the manner of its storage. However, the labile nature of THC has made it imperative to have, initially, cannabis samples of high THC content so that the sample is still active even after a reasonably long period of storage and handling. Hence cannabis resin (charas) and pure cannabis resin oil are preferred, quite apart from other handling advantages.
Acknowledgement
Thanks are due to the Bureau of Police Research and Development, Ministry of Home Affairs, New Delhi for the award of a fellowship to Mr. H.C. Golani. Thanks are also due to Dr. O.J. Braenden, United Nations Laboratory, Division of Narcotic Drugs, Geneva, for supplying reference standards.
References
Z. Krejci, L. Hanus, T. Yoshida and O.J. Braenden. The effect of climatic and ecologic conditions upon the formation and the amount of cannabinoid substances in cannabis of various provenance, Acta Univ. Palacki Olamue Fac. Med., 74 , 147-160, 1975.
020J. W. Fairbairn, J.A. Liebmann and M.G. Rowan. The stability of cannabis and its preparations on storage, J. Pharm. Pharmac., 28 , 1-7, 1976.
030R. K. Kubena, H. Barry, A.B. Sagelmann, M. Theiner and N.R. Farnsworth. Biological and chemical evaluation of a 43-year-old sample of cannabis fluid extract, J. Pharm. Sci., 61 , 144-145, 1972.
040J. M. Parker, M.L. Borke, L.A. Black and T.G. Cochran. Decomposition of cannabidiol in chloroform solution, J. Pharm. Sci., 63 , 970-971, 1974.
050C. E. Turner and J.T. Henry. Constituents of Cannabis sativa L. IX: Stability of synthetic and naturally occurring cannabinoids in chloroform, J. Pharm. Sci., 64 , 357-359, 1975.
060C. E. Turner and K.W. Hadley, P.S. Fetterman, N.J. Doorenbos, M.W. Quimby and C. Waller. Constituents of Cannabis sativa L. IV: Stability of cannabinoids in stored plant material, J. Pharm. Sci., 62 , 1601-1605, 1973.
070C. E. Turner and K. Hadley. Constituents of Cannabis sativa L. II. Absence of cannabidiol in an African variant. J. Pharm. Sci ., 62, 251-255, 1973.
080M. J. De Faubert Maunder. A comparative evaluation of the Δ 9-tetrahydrocannabinol content of cannabis plants, J. Assoc. Public Analysts, 8 , 42-47, 1970.
090R.K. Razdan, A.J. Puttick, B.A. Zitko and G. R. Handrick. Hashish VI: Conversion of ( - ) Δ 1(6) - tetrahydrocannabinol to ( - ) - Δ (7) tetrahydrocannabinol. Stability of ( - ) - Δ 1 and ( - ) - Δ 1(6) tetrahydrocannabinols, Experientia, 28 (2), 121-2, 1972.
100P. Lerner. Determination of tetrahydrocannabinol in marihuana and hashish, Bulletin on Narcotics , XXI: 3, 39-42, 1969.
110C.B. Coffman and W.A. Gentner. Cannabis sativa L., Effect of drying time and temperature on cannabinoids profile of stored leaf tissue, Bulletin on Narcotics , XXVI: 1, 67-70, 1974.
120A.H. Der Marderosian and S. H. S. Murthy. Analysis of old samples of Cannabis sativa L., J. Forens. Sci., 19 , 670-675, 1974.